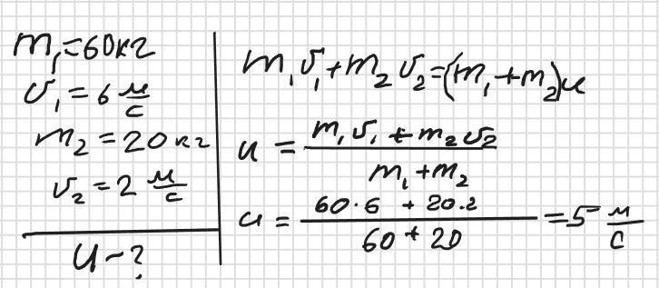
Людина, що біжить зі швидкістю 6 м/с, доганяє ві-
зок, що рухається зі швидкістю 2 м/с, і стрибає на
нього. З якою швидкістю стане рухатися візок після
цього? Маси людини й візка дорівнюють відповідно
60 і 20 кг.
Ответы
Ответ дал:
0
Ответ: 5 м/с
Объяснение:
Приложения:

Вас заинтересует
2 года назад
2 года назад
8 лет назад
8 лет назад