• Предмет: Алгебра
  • Автор: daniakucher292
  • Вопрос задан 7 лет назад

Знайдіть похідну 100

Приложения:

Ответы

Ответ дал: Аноним
2

(xⁿ)'=n*xⁿ⁻¹

(uv)'=u'v+uv'

(u/v)'=(u'v-uv')/v²

(√x)'=1/(2√x)

(cosx)'=sinx

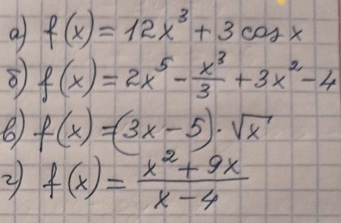
a) f'(x)=3*12x²-3sinx=36x²-3sinx

б) f'(x)=10x⁴-3x²/3+6x-0=10x⁴-x²+6x

в) f'(x)=(3x-5)'*√x+(3x-5)*(√x)'=3√x+(3x-5)/(2√x)=(6x+3x-5)/(2√x)=

(9x-5)/(2√x)

г) f'(x)=((2x+9)*(x-4)-1*(x²+9x))/(x-4)²=(2x²+9x-8x-36-x²-9x)/(x-4)²=

(x²-8x-36)/(x-4)²=


daniakucher292: Дякую:)
Ответ дал: NNNLLL54
1

Ответ:

Используем правила дифференцирования:    (u\pm v)'=u'\pm v'\ \ ,

(uv)'=u'v+uv'\ \ ,\ \ \ \Big(\dfrac{u}{v}\Big)'=\dfrac{u'v-uv'}{yv^2}   .

1)\ \ f(x)=12x^3+3cosx\ \ ,\\\\f'(x)=12\cdot 3x^2+3\cdot (-sinx)=36x^2-3\, sinx\\\\2)\ \ f(x)=2x^5-\dfrac{x^3}{3}+3x^2-4\\\\f'(x)=2\cdot 5x^4-\dfrac{1}{3}\cdot 3x^2+3\cdot 2x-0=10x^4-x^2+6x\\\\3)\ \ f(x)=(3x-5)\cdot \sqrt{x}\\\\f'(x)=3\cdot \sqrt{x}+(3x-5)\cdot \dfrac{1}{2\sqrt{x}}=\dfrac{6x+3x-5}{2\sqrt{x}}=\dfrac{9x-5}{2\sqrt{x}}\\\\4)\ \ f(x)=\dfrac{x^2+9x}{x-4}\\\\f'(x)=\dfrac{(2x+9)(x-4)-(x^2+9x)\cdot 1}{(x-4)^2}=\dfrac{2x^2+x-36-x^2-9x}{(x-4)^2}=\dfrac{x^2-8x-36}{(x-4)^2}


qqrnzgpfhqdbtlmj2012: Помогите пожалуйста вычислить определенный интеграл, не могу ни как сделать
Вас заинтересует