• Предмет: Физика
  • Автор: anastasiiaserdiuk200
  • Вопрос задан 7 лет назад

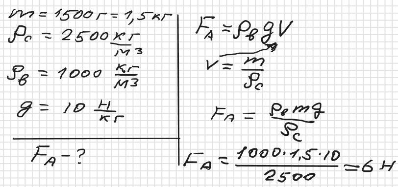
СРОЧНО!!! Яка виштовхувальна сила діє на скляне тіло масою 1500г,яке повністю занурене у воду?(густина скла=2500кг/м³, густина води=1000кг/м³


Аноним: Так як густина скла в 2.5 раза більша за густину води,
то скляне тіло масою 500 г займає такий об’єм,
що витісняє 500/2,5 тільки 200 грам води.
Виштовхувальна сила Архімеда буде 2 Ньютона.
Аноним: 097 609 1270 мій номер

Ответы

Ответ дал: zybkov1950
2

Ответ: 6 Н

Объяснение:

Приложения:
Вас заинтересует