• Предмет: Математика
  • Автор: Аноним
  • Вопрос задан 7 лет назад

Помогите срочно!!!!!!!!!!!
Даю 50 баллов :(
У меня есть всего час на ето.
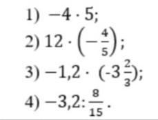
Задание на фото!!!!!

Приложения:

Ответы

Ответ дал: vikasuhareva2001
1

Ответ:

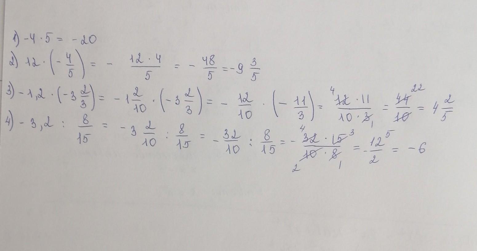
Решение на фото, надеюсь все видно)

Приложения:

Аноним: Спасибо большое!!!!! ♡
vikasuhareva2001: да не за что))) рада помочь)
Ответ дал: ripkaschannel
1
1) -20

2) -48
——
5

3) 22
——
5

4) -6


Все верно, можешь довериться мне.

Аноним: Спасибо большое!!!!! ♡
Вас заинтересует