• Предмет: Физика
  • Автор: vika12byts
  • Вопрос задан 7 лет назад

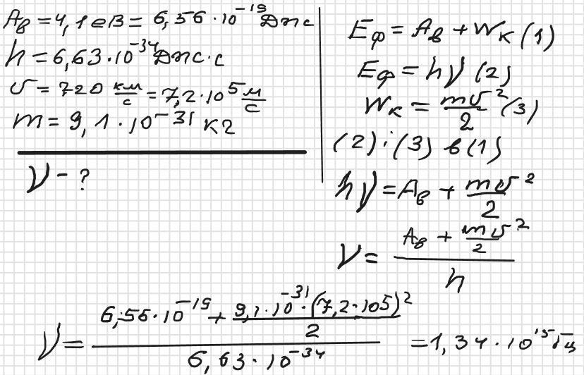
Робота виходу електронів з поверхні металу дорівнює 4, 1 еВ. Яка частота хвилі випромінювання, що спричиняє фотоефект, якщо максимальна швидкість фотоелектронів 720 км/с?

Ответы

Ответ дал: zybkov1950
1

Ответ: 1,34·10¹⁵  Гц

Объяснение:

Приложения:
Вас заинтересует