• Предмет: Математика
  • Автор: stadnikovvital
  • Вопрос задан 7 лет назад

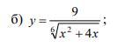
Продифференцировать уравнение.
Ребята. Нужна помощь! пожалуйста, застрял
За развернутый ответ буду очень благодарен!

Приложения:

Ответы

Ответ дал: sergeybasso
1

Ответ:

y'=-\frac{3}{2}\cdot \frac{2x+4}{\sqrt[6]{(x^2+4x)^7}}}

Пошаговое объяснение:

y'=(9 \cdot (x^2+4x)^{-\frac{1}{6} })'=9 \cdot (-\frac{1}{6})\cdot (x^2+4x)^{-\frac{1}{6}-1 }\cdot (x^2+4x)'=\\=(-\frac{9}{6})\cdot (x^2+4x)^{-\frac{1}{6}-1 }\cdot (x^2+4x)'=(-\frac{3}{2})\cdot (x^2+4x)^{-\frac{7}{6}}\cdot (2x+4)=\\\\=(-\frac{3}{2})\cdot \frac{2x+4}{(x^2+4x)^{\frac{7}{6}}} =-\frac{3}{2}\cdot \frac{2x+4}{\sqrt[6]{(x^2+4x)^7}}}

Вас заинтересует