Ответы
Ответ дал:
1
Ответ:
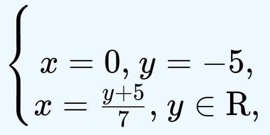
ответ написан на экране
Объяснение:
надеюсь с этим понятно
Приложения:

Вас заинтересует
2 года назад
2 года назад
2 года назад
8 лет назад
9 лет назад
9 лет назад