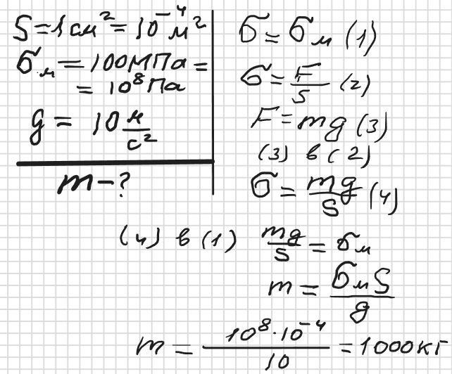
Вантаж якої маси може витримати алюмінієва дротина площею поперечного перерізу 1 см2, якщо межа міцності алюмінію 100 МПа?
Ответы
Ответ дал:
0
Ответ: 1000 кг
Объяснение:
Приложения:

Kabenova7:
можете мне помочь пожалуйста
Вас заинтересует
2 года назад
2 года назад
2 года назад
2 года назад
8 лет назад
9 лет назад
9 лет назад