• Предмет: Математика
  • Автор: vitalijmailgruski
  • Вопрос задан 7 лет назад

Решите? Сможете? Уверены?

Приложения:

Ответы

Ответ дал: artemochkaaa
0

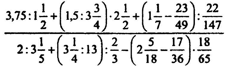
Ответ: 1)3,75:1.1/2=3,75;1,5=2,5

2)1,5:3,75=0,4

3)0,4*2,5=1

4)2,5+1=3,5

5)1.1/7-23/49=8/7-23/49=56-23)/49=33/49

6)33/49:22/147=33*147)/49*22=9/2

7)3,5+9/2=3,5+4,5=8

8)2:3.1/5=2:16/5=10/16

9)3.1/4:13=13/4:13=13/4*13=1/4

10)1/4:2/3=3/8

11)10/16+3/8=16/16=1

12)2.5/18-17/36=41/18-17/36=(82-17)/36=65/36

13)65/36*18/65=1/2

14)1-1/2=1/2

Пошаговое объяснение:

Вас заинтересует