• Предмет: Математика
  • Автор: Аноним
  • Вопрос задан 7 лет назад

БУДЬ ЛАСКА ЗАЛИШИЛОСЬ 19 ХВ!!!!!​

Приложения:

Ответы

Ответ дал: kamelbainurtilek
1

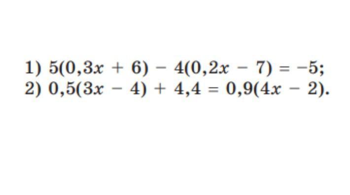
1) 5(0,3х+6)-4(0,2х-7)=-5 Х=-90 (=0,7 х+58)

2) 0,5(3х-4)+4,4=0,9(4х-2) х=2 (1,5х+2,4)

если это уравнение там все написано ответы х=-90

а этот (0,7 х+58 это решение).

дай пж лучший ответ


Аноним: ВИ МЕНЕ СПАСЛИ!!!!
Вас заинтересует