• Предмет: Алгебра
  • Автор: mekanur
  • Вопрос задан 7 лет назад

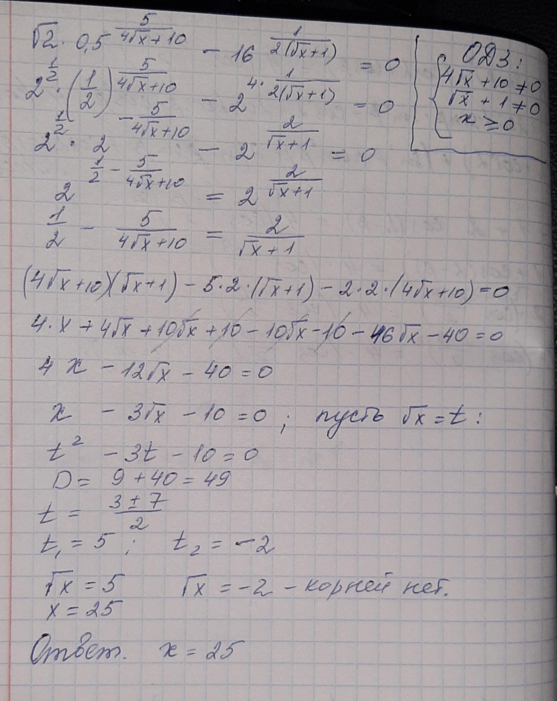
Решить 4 , степенная функция​

Приложения:

Ответы

Ответ дал: Evreika77
0

Ответ: х=25

Объяснение:

Приложения:
Вас заинтересует