Ответы
2. Я не понял
Можно пожалуйста лучший ответ

Ответ:
В решении.
Пошаговое объяснение:
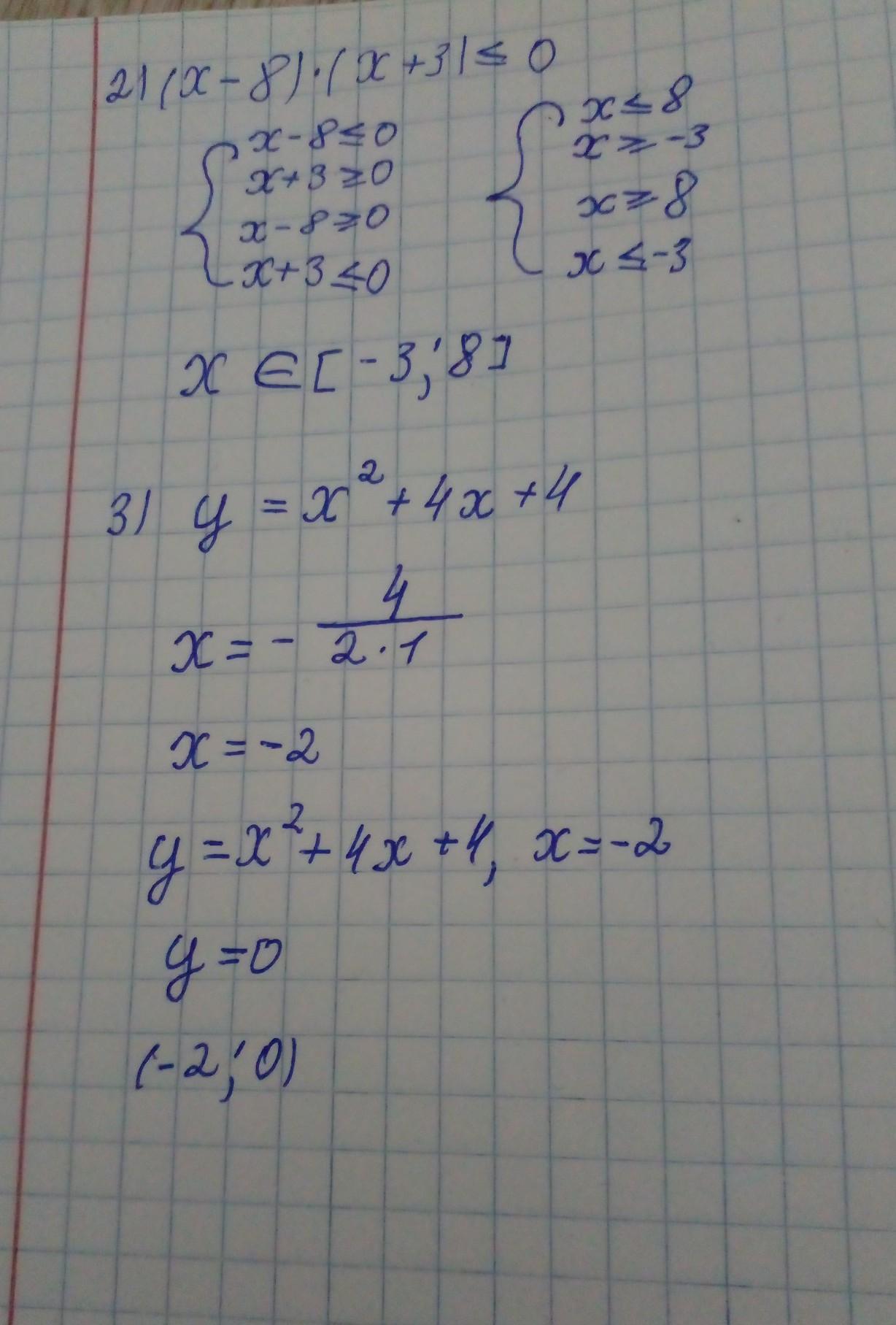
1) Решить неравенство:
(х - 8)(х + 3) <= 0
Приравнять к нулю и решить квадратное уравнение:
(х - 8)(х + 3) = 0
х - 8 = 0
х₁ = 8;
х + 3 = 0
х₂ = -3;
Уравнение квадратичной функции, график - парабола, ветви направлены вверх, пересекают ось Ох в точках х = -3 и х = 8.
у <= 0 при х от х = -3 до х = 8.
Решения неравенства: х∈[-3; 8].
Неравенство нестрогое, скобки квадратные.
2) Решить уравнение:
3х⁴ - 2х² - 16 = 0
Ввести новую переменную: х² = t;
Новое уравнение:
3t² - 2t - 16 = 0
D=b²-4ac = 4 + 192 = 196 √D=14
t₁=(-b-√D)/2a
t₁=(2-14)/6
t₁= -12/6
t₁= -2;
t₂=(-b+√D)/2a
t₂=(2+14)/6
t₂=16/6 (деление)
t₂=8/3 (дробь);
Вернуться к первоначальной переменной: х² = t;
1) x² = -2; нет решения;
2) х² = 8/3
х = ±√(8/3)
х = ±2√(2/3);
х₁ = -2√(2/3);
х₂ = 2√(2/3).
3) Построить график функции у = х² + 4х + 4;
Уравнение квадратичной функции, график - парабола со смещённым центром, ветви направлены вверх.
Придать значения х, подставить в уравнение, вычислить у, записать в таблицу.
Таблица:
х -5 -4 -3 -2 -1 0 1
у 9 4 1 0 1 4 9
По вычисленным точкам построить параболу.
