• Предмет: Математика
  • Автор: motrotsenko
  • Вопрос задан 7 лет назад

Потрібна допомога!!!!!

Приложения:

Ответы

Ответ дал: manyny06
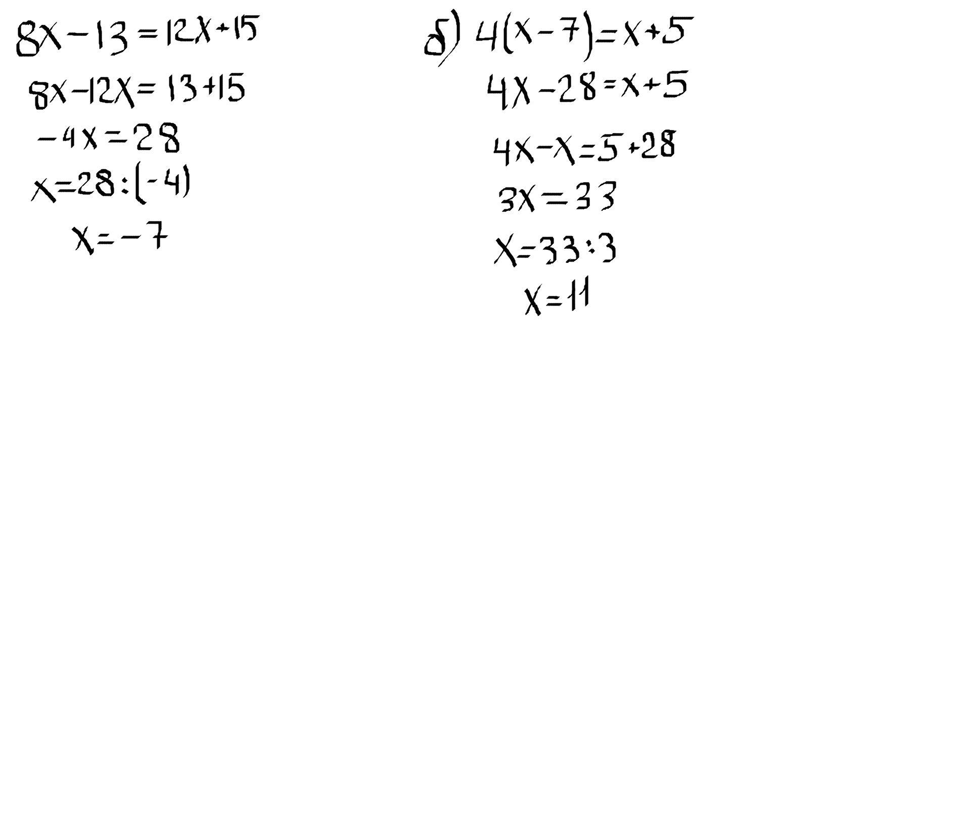
0

Ответ:

решение смотри на фотографии

Приложения:
Ответ дал: TutorOnline
0

Ответ: а) х=-7; б) х=11

Пошаговое объяснение: на фото

Приложения:
Вас заинтересует