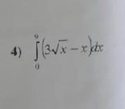
Вычислите определенный интеграл используя методы интегрирования!
Помогите пожалуйста
Приложения:

Ответы
Ответ дал:
1
Ответ:
решение смотри на фотографии
Приложения:

wqeew21:
Спасибо огромное!!!
Вас заинтересует
2 года назад
2 года назад
8 лет назад
8 лет назад
9 лет назад
9 лет назад