1
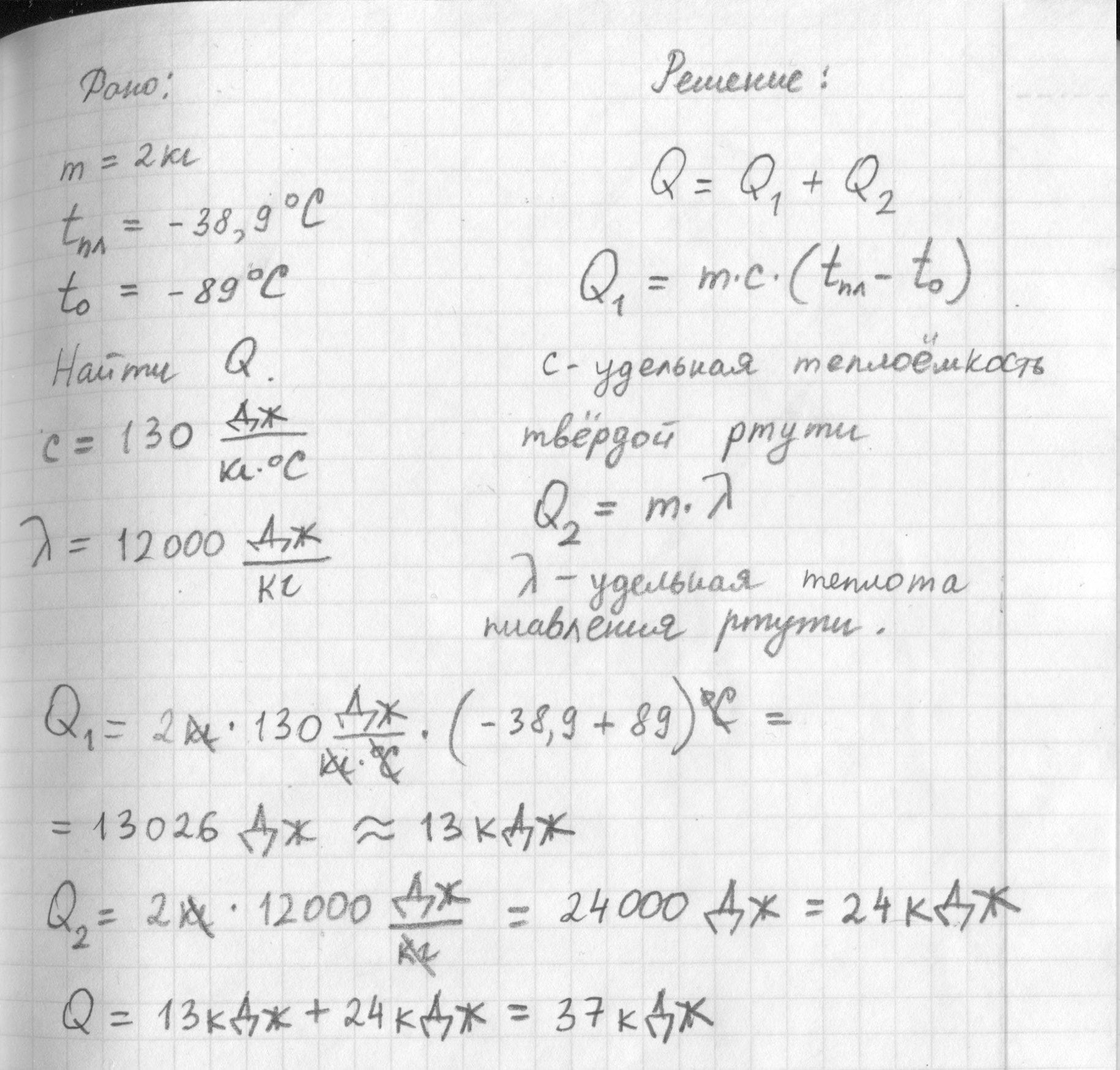
Рассчитать энергию, которая потребуется для плавления ртути массой 2 кг , взятой при температуре -89 °С.
Изобразить процесс графически.Ответ дать в килоджоулях.
Далее
Завершить
Ответы
Ответ дал:
0
Решение на двух листках
Приложения:


fedor22dynamo:
вы все перепутали
Вас заинтересует
2 года назад
2 года назад
2 года назад
2 года назад
8 лет назад
8 лет назад
9 лет назад