• Предмет: Алгебра
  • Автор: streep
  • Вопрос задан 7 лет назад

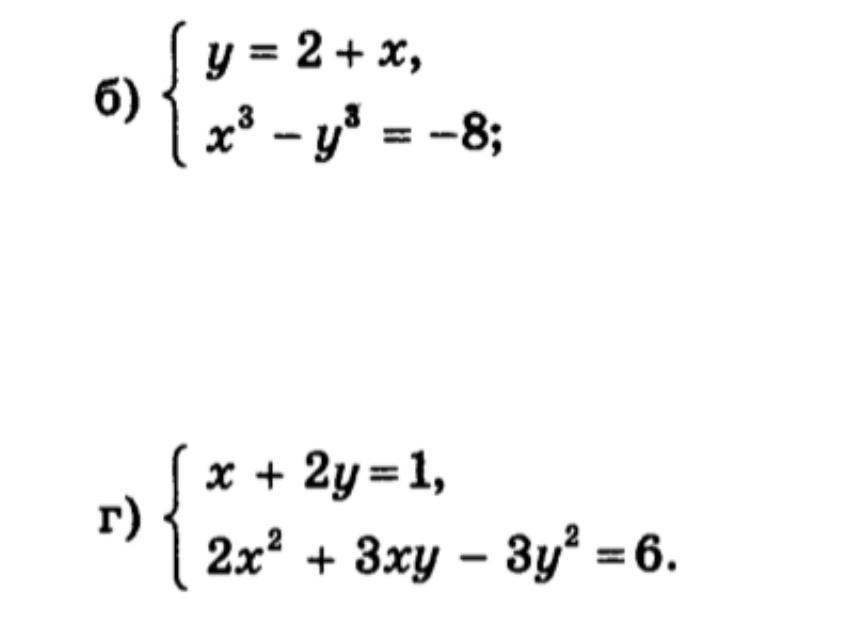
Решите уравнение методом подстановки:

Приложения:

Ответы

Ответ дал: khalimarozieva
1

Объяснение:

y = 2 + x \\ x {}^{3}  - y {}^{3}  =  - 8 \\  \\  \\ x {}^{3} - (2 + x) {}^{3}   =  - 8 \\ x {}^{3}  - 8 - 12x - 6x {}^{2}  - x {}^{3}  =  - 8 \\ 6x {}^{2} + 12x + 8 =  - 8 \\  6x {}^{2}   + 12x = 0 \\ x(6x + 12) = 0 \\ a) \: x 1= 0 \\ b) \: 6x + 12 = 0 \\ 6x =  - 12 \\ x2 =  - 2 \\  \\ y1 = 2 + 0 = 2 \\ y2 = 2 + ( - 2) = 0

Ответ: x1=0 ; x2=-2; y1=2 ; y2=0

x = 1 - 2y \\ 2x {}^{2}  + 3xy - 3y {}^{2}  = 6 \\  \\ 2(1 - 2y) {}^{2}  + 3(1 - 2y)y - 3y {}^{2}  = 6 \\ ... \\ y1 =  - 1 \\ y2 = 4 \\  \\ x1 = 1 - 2( - 1) = 3 \\ x2 = 1 - 2 \times 4 =  - 7

Ответ: x1=3; y1=-1; x2=-7; y2=4

Вас заинтересует