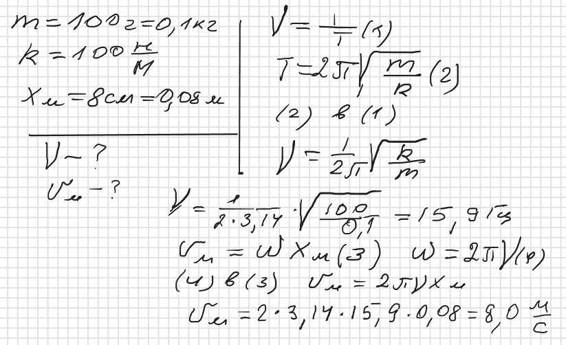
Тягарець масою 100 г коливається на пружині жорсткістю 100 Н/м визначити частоту коливань і найбільшу швидкість тягарця якщо амплітуда коливань 8 с
Ответы
Ответ дал:
1
Ответ: 15,9 Гц 8,0 м/с
Объяснение:
Приложения:

Ответ дал:
1
Відповідь:
15,9 Гц 8,0 м/с
Пояснення:
Вас заинтересует
2 года назад
2 года назад
2 года назад
8 лет назад
9 лет назад