Ответы
Ответ дал:
1
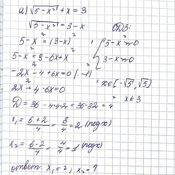
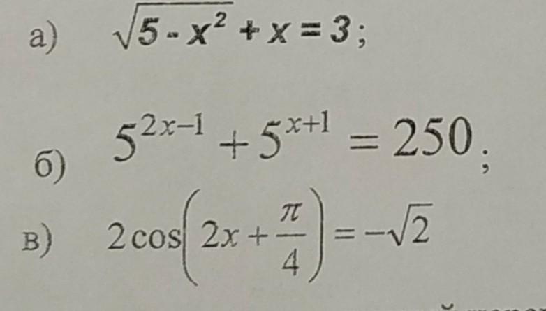
Перенесём х на правую часть уравнение, далее подкоренное выражение имеет смысл тогда и только тогда, когда подкопанное выражение не отрицательно.
Приложения:

math448:
Я ещё там решила под В и Б но они не влезли в фото))
Вас заинтересует
2 года назад
2 года назад
2 года назад
2 года назад
9 лет назад