Допоможіть будь ласка!!! Дуже срочно
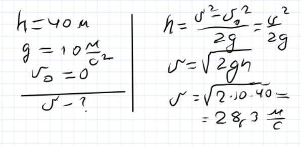
З вертольоту, що знаходиться на висоті 40м, скидають пошту. Визначте швидкість пакета під час падіння на землю
Ответы
Ответ дал:
1
Ответ: 28,3 м/с
Объяснение:
Приложения:

Вас заинтересует
2 года назад
2 года назад
2 года назад
2 года назад
8 лет назад
8 лет назад