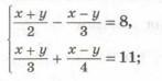
ПОМОГИТЕ ПОЖАЛУЙСТА, СРОЧНО, ДАЮ 15 БАЛЛОВ, НУЖНО РЕШИТЬ СИСТЕМУ УРАВНЕНИЯ! БУДУ ОЧЕНЬ БЛАГОДАРНА, КТО РЕШИТ ПРАВИЛЬНО!!! ЗАРАНЕЕ СПАСИБО! УРАВНЕНИЕ В ФАЙЛЕ!
РЕШИТЬ СПОСОБОМ АЛГЕБРАИЧЕСКОГО СЛОЖЕНИЯ
Приложения:

Ответы
Ответ дал:
1
В первом шагу приведение к общему знаменателю по сути, но я сразу умножил на наименьшее кратное в обоих уравнениях, дальше стандартное решение
Приложения:

alena5566d:
Спасибо, поняла
Вас заинтересует
2 года назад
2 года назад
2 года назад
9 лет назад