• Предмет: Математика
  • Автор: zlatalappachka
  • Вопрос задан 7 лет назад

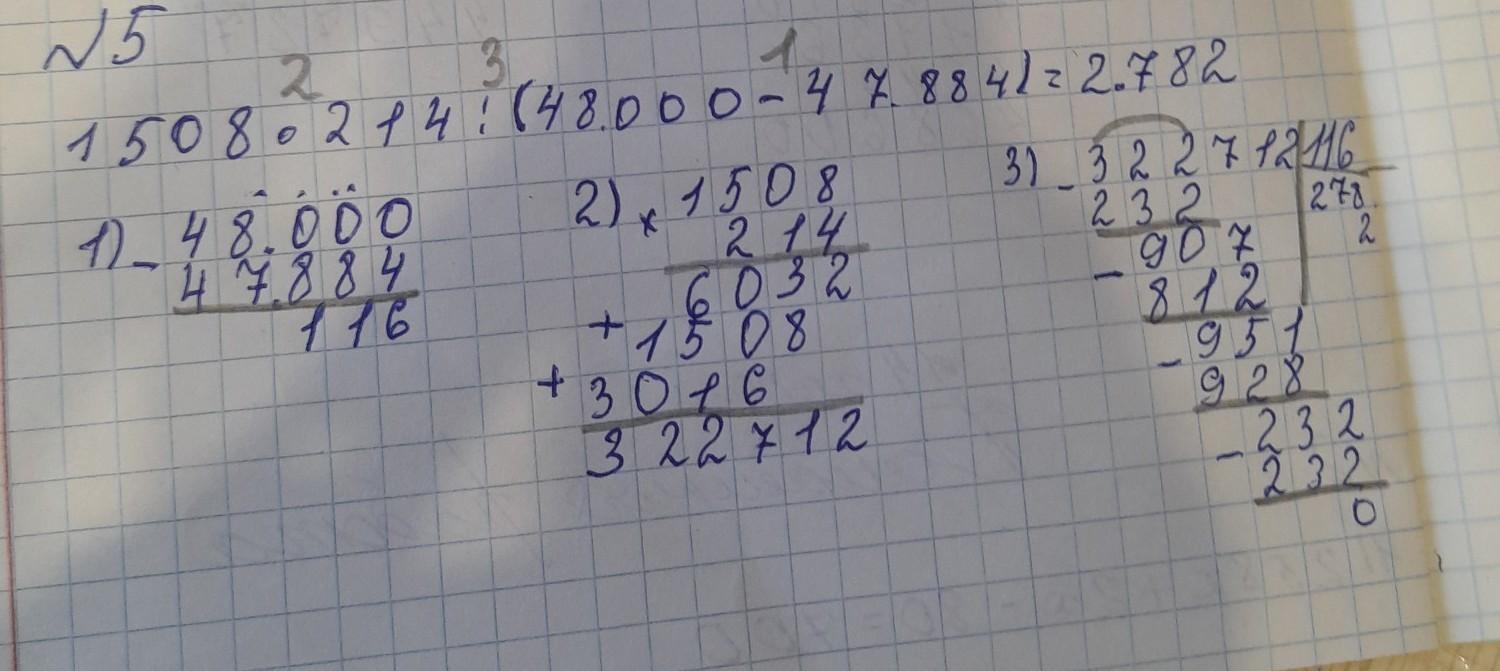
исли значения выражений, 3 2 . 1 1 508214: (48 000 - 47 884)​

Приложения:

Ответы

Ответ дал: iramazurk
0

Ответ:

Пошаговое объяснение:

1) 48000 - 47884 = 116

2) 1508 * 214 = 322712

3) 322712 : 116 = 2782

Ответ дал: hardwe
0

Відповідь:

1)  116

2)  322712

3)   2782

Покрокове пояснення:

Вас заинтересует