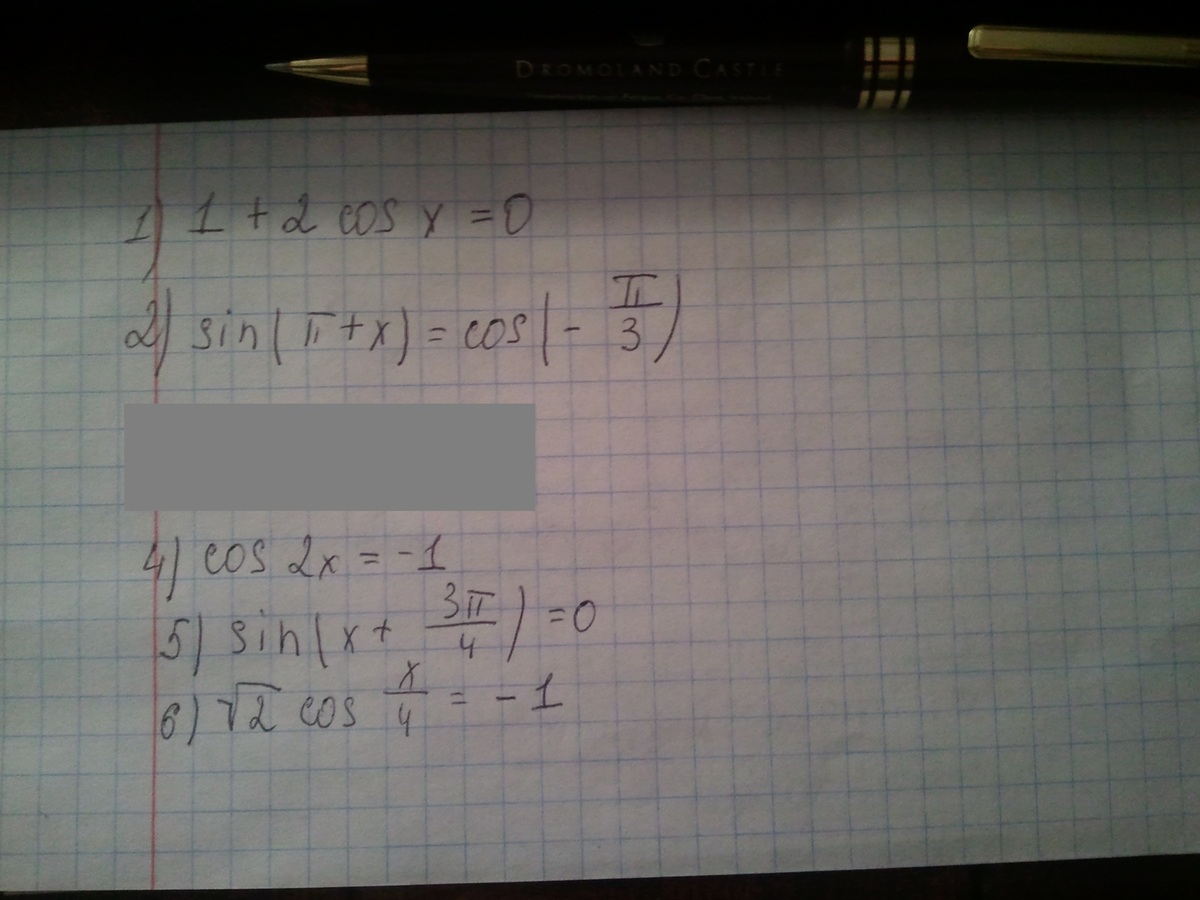
Помогите пожалуйста !!! очень срочно надо... 1)1+2cosx=o; 2) sin(П+х)=cos(-П/3); 3)cos2x=-1; 4) sin(x+3П/4)=0; 5√2cosx4=-1.
Приложения:

Ответы
Ответ дал:
0
1+2cosx=0
2cosx=-1
cosx=-1/2
x=+-2п/3+2пк,К∈Z
sin(п+x)=cos(-п/3)
-sinx+cos(-п/3)=0
sinx=-1/2
x=(-1)k+1*√3/2+пк,К∈Z
сos2x=-1
2x=П+2пк,К∈Z
x=П/2+пк,К∈Z
2cosx=-1
cosx=-1/2
x=+-2п/3+2пк,К∈Z
sin(п+x)=cos(-п/3)
-sinx+cos(-п/3)=0
sinx=-1/2
x=(-1)k+1*√3/2+пк,К∈Z
сos2x=-1
2x=П+2пк,К∈Z
x=П/2+пк,К∈Z
Вас заинтересует
2 года назад
8 лет назад
8 лет назад
10 лет назад
10 лет назад