cero
Решите уравнение
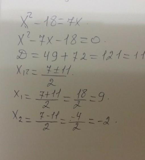
х2 - 18 =
= 7х.
Если уравнение имеет более одного корня, в ответ запишите больший из
корней.
Ответ:
Ответы
Ответ дал:
0
Ответ:
x2-7x
x2-7x-18=0
D=49+72=121=11
Приложения:

Вас заинтересует
2 года назад
2 года назад
2 года назад
8 лет назад
8 лет назад
9 лет назад