Ответы
Ответ дал:
1
Ответ:
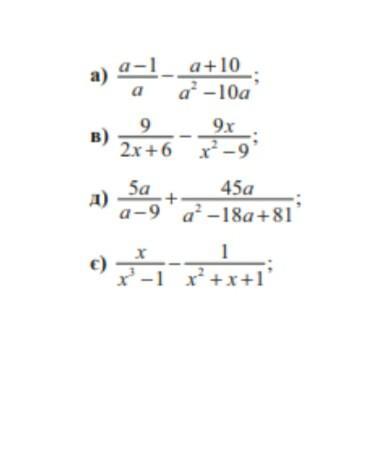
Решение на фото, надеюсь все видно и понятно))
Приложения:

anytamaksymovych:
Да, спасибо)
Вас заинтересует
2 года назад
2 года назад
8 лет назад
9 лет назад