• Предмет: Математика
  • Автор: olegsemianiv56
  • Вопрос задан 7 лет назад

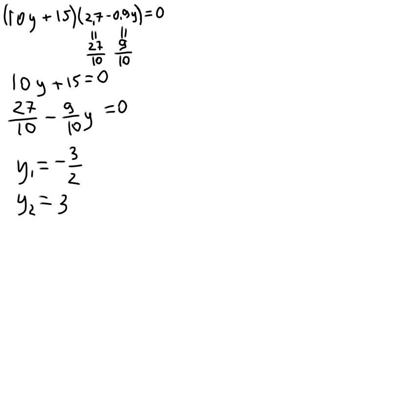
(10y+15)×(2,7-0,9y)=0

Ответы

Ответ дал: gahsisi
1
Держи, если что-то непонятно, пиши:)
Приложения:
Вас заинтересует