• Предмет: Алгебра
  • Автор: kakoscha73
  • Вопрос задан 10 лет назад

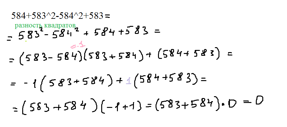
584+583^2-584^2+583 вычислить

Ответы

Ответ дал: esmilya
0
Если понравилось решение - нажимай "спасибо" и "лучший" (рядом с кнопкой "спасибо") :)
Приложения:
Вас заинтересует