• Предмет: Математика
  • Автор: kirin6328
  • Вопрос задан 7 лет назад

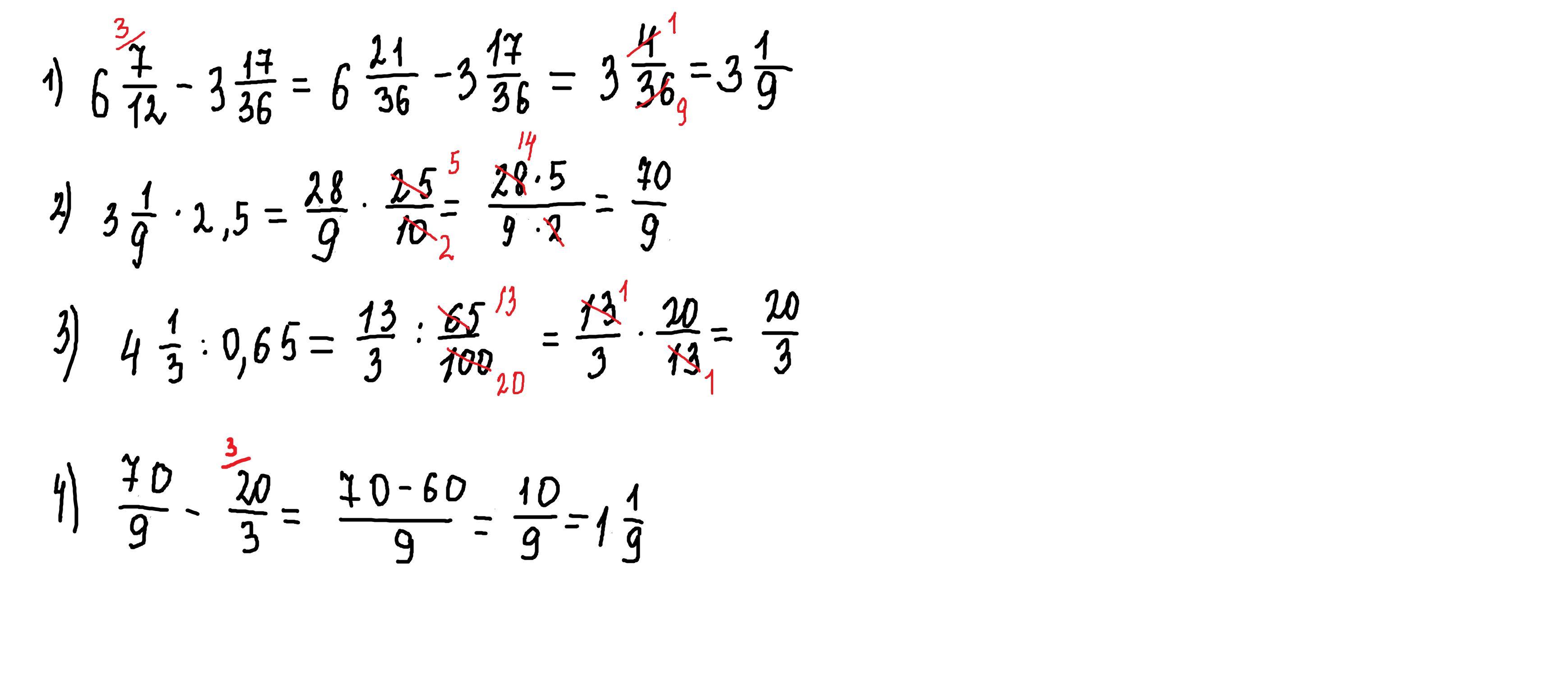
помогите пожалуйста,очень срочно.по действиям! только не скрин из приложения (​

Приложения:

Ответы

Ответ дал: parus77
1

Ответ:

1 1/9

Пошаговое объяснение:

решение по действиям внизу

Приложения:

kirin6328: спасибо большое
parus77: пожалуйста
Вас заинтересует