• Предмет: Алгебра
  • Автор: iloveyouforever
  • Вопрос задан 7 лет назад

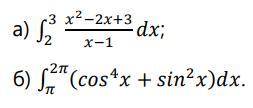
Вычислите интегралы:

Приложения:

Ответы

Ответ дал: MuhammadGulu
0

Ответ:

x²-2x+3

--------------dx

x-1

x³/3-2x²/2+3x

--------------------

x²/2-1

Вместо "х" поставим 3

3³/3-2•3²/2+3•3 27/3-18/2+9 9-9+9 9

----------------------- = -------------------- = ---------- = ------- =

3²/2-1 9/2-1 7/2 7/2

= 9•2/7=18/7=2 4/7

И от полученного числа отнимаем 2

2 4/7-2=4/7

Ответ: 4/7

Вас заинтересует