• Предмет: Математика
  • Автор: maransidorov
  • Вопрос задан 7 лет назад

(Срочноооооо)Знайдіть суму чотирьох перших членів геометричної прогресії, якщо її перший b = 5, а знаменник q = 2. член​

Ответы

Ответ дал: denis20202022
0

Ответ:

75

Пошаговое объяснение:

S 1 = 5

S 2 = 5*2 = 10

S 3 = 10*2 = 20

S 4 = 20*2 = 40

Сумма = 5+10+20+40 = 75

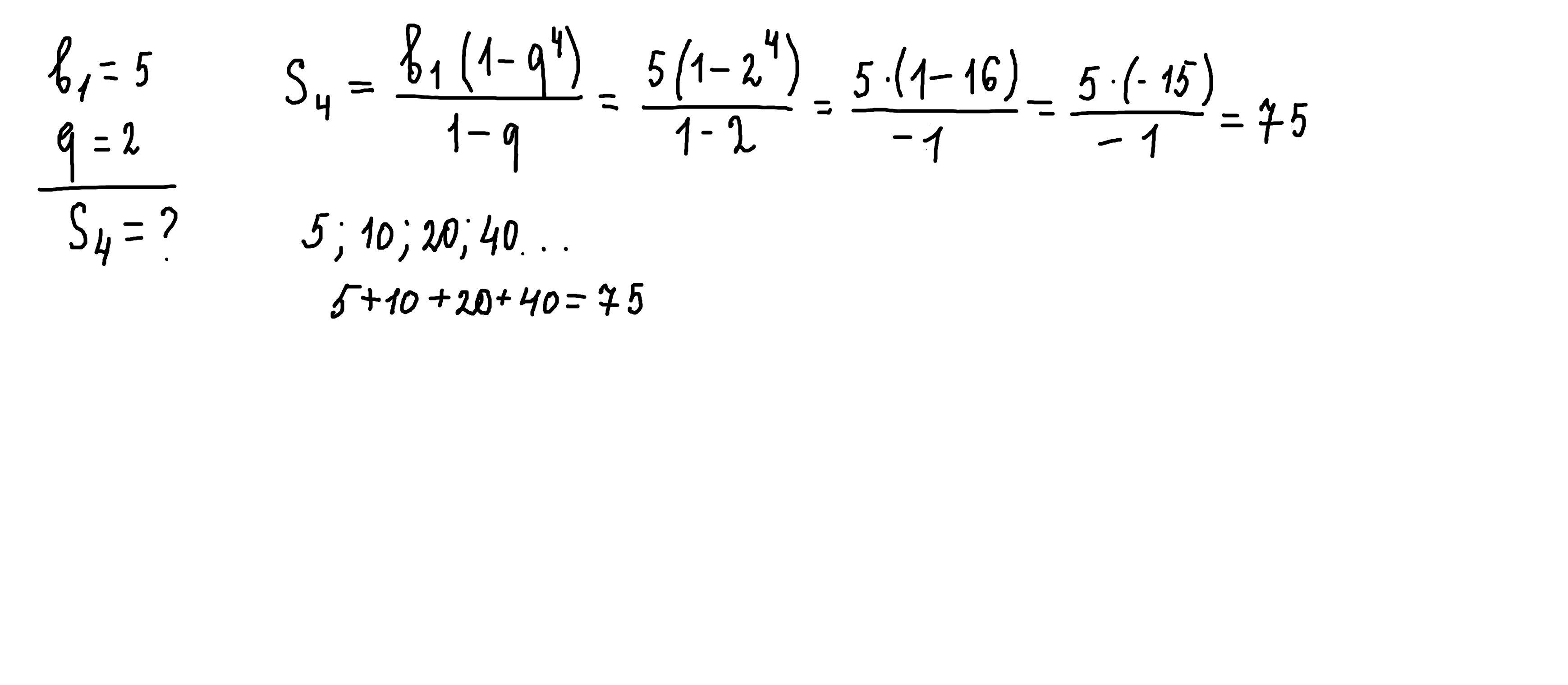
Ответ дал: parus77
0

Ответ:

S4=75

Пошаговое объяснение:решение внизу

Приложения:
Вас заинтересует