• Предмет: Алгебра
  • Автор: Lokar
  • Вопрос задан 11 лет назад

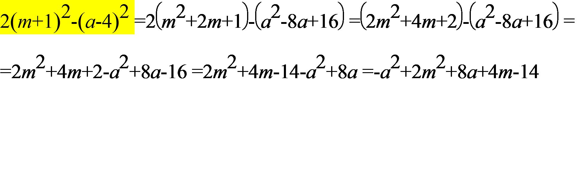
2(m+1)квадрате - (a-4)квадрате

Ответы

Ответ дал: triolana
0

файл

====================

Приложения:
Ответ дал: katik85
0

2(m+1)^2-(a-4)^2=2(m^2+2m+1)-(a^2-8a+16)=2m^2+4m+2-a^2+8a-16=2m^2+4m-a^2+8a-14

Приложения:
Вас заинтересует