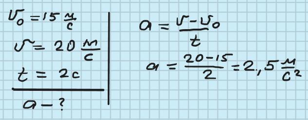
СРОЧНО!!! Автомобіль, рухаючись рівноприскорено, збільшив свою швидкість
від 15 м/с до 20м/с за 2 с. Визначити прискорення руху автомобіля.
Ответы
Ответ дал:
1
Ответ: 2,5 м/с²
Объяснение:
Приложения:
Вас заинтересует
2 года назад
2 года назад
3 года назад
3 года назад
8 лет назад
8 лет назад
10 лет назад