Упростите выражения:
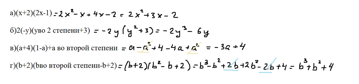
а)(x+2)(2x-1)
б)2(-y)(yво 2 степени+3)
в)(а+4)(1-а)+а во второй степени
г)(b+2)(bво второй степени-b+2)
Ответы
Ответ дал:
0
Если понравилось решение - нажимай "спасибо" и "лучший" (рядом с кнопкой "спасибо") :)
Приложения:

Вас заинтересует
2 года назад
2 года назад
8 лет назад
8 лет назад
10 лет назад
10 лет назад