• Предмет: Алгебра
  • Автор: mersapupik
  • Вопрос задан 7 лет назад

ДАЮ СОТНЮ!!!ПОЖАДУЙСТА!!!!
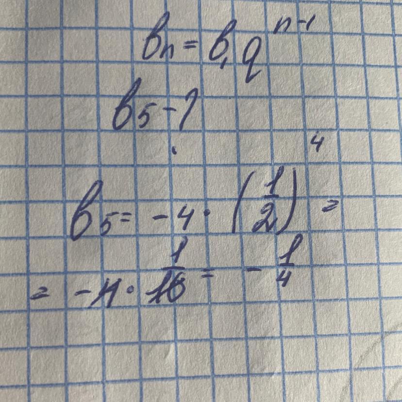
В геометрической прогрессии b1 = -4, q = 1/2. Найти b5.


Выберите один ответ:


a.

128



b.

−1/4



c.

-2



d.

−1/8

Ответы

Ответ дал: math448
1
Ответ: b. -1/4
По формуле находим 5 член:
Приложения:

mersapupik: Спасибо вам большое!
math448: Не за что!)
Ответ дал: Universalka
0

\displaystyle\bf\\b_{1} =-4\\\\q=\frac{1}{2} \\\\\\b_{5}=b_{1} \cdot q^{4} =-4\cdot \Big(\frac{1}{2} \Big)^{4} =-4\cdot\frac{1}{16} =-\frac{1}{4} \\\\\\Otvet: \ b_{5} =-\frac{1}{4}

Вас заинтересует