• Предмет: Алгебра
  • Автор: Аноним
  • Вопрос задан 7 лет назад

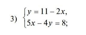
На фото вопрос сделать надо третий ​

Приложения:

Ответы

Ответ дал: Universalka
0

\displaystyle\bf\\\left \{ {{y=11-2x} \atop {5x-4y=8}} \right. \\\\\\\left \{ {{y=11-2x} \atop {5x-4\cdot(11-2x)=8} \right.\\\\\\\left \{ {{y=11-2x} \atop {5x-44+8x=8}} \right. \\\\\\\left \{ {{y=11-2x} \atop {13x=52}} \right. \\\\\\\left \{ {{x=4} \atop {y=11-2\cdot 4}} \right. \\\\\\\left \{ {{x=4} \atop {y=3}} \right. \\\\\\Otvet: \ \Big(4 \ ; \ 3\Big)


Аноним: Спасибо конечно но не совсем понятно
Universalka: Что не совсем понятно ?
Аноним: я просто через приложение а не сайт
Аноним: begin{gathered}\displaystyle\bf\\\left \{ {{y=11-2x} \atop {5x-4y=8}} \right. \\\\\\\left \{ {{y=11-2x} \atop {5x-4\cdot(11-2x)=8} \right.\\\\\\\left \{ {{y=11-2x} \atop {5x-44+8x=8}} \right. \\\\\\\left \{ {{y=11-2x} \atop {13x=52}} \right. \\\\\\\left \{ {{x=4} \atop {y=11-2\cdot 4}} \right. \\\\\\\left \{ {{x=4} \atop {y=3}} \right. \\\\\\text{\O}tvet: \ \Big(4 \ ; \ 3\Big)\end{gathered} вот это ваш ответ через приложение
Аноним: но все равно спасибо
Universalka: Вы наверно смотрите с телефона , посмотрите с компьютера . Я решила ещё одно ваше задание , его тоже не видно ?
Аноним: да его видно спасибо
Аноним: да его видно спасибо
Аноним: извиняюсь я коммент не туда поставил
Аноним: я на свой вопрос поставить хотел, но поставил на вопрос друга
Вас заинтересует