• Предмет: Алгебра
  • Автор: Аноним
  • Вопрос задан 7 лет назад

Решите пж первый номер​

Приложения:

Ответы

Ответ дал: Universalka
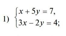
1

Решим систему уравнений способом сложения , для этого умножим обе части первого уравнения на ( - 3) .

\displaystyle\bf\\\left \{ {{x+5y=7}  \ |\cdot(-3)\atop {3x-2y=4}} \right. \\\\\\+\left \{ {{-3x-15y=-21} \atop {3x-2y=4}} \right. \\-----------\\-17y=-17\\\\y=1\\\\x=7-5y=7-5\cdot 1=7-5=2\\\\Otvet:\ \Big(2 \ ; \ 1\Big)

Вас заинтересует