• Предмет: Математика
  • Автор: vanyakaznacheev4
  • Вопрос задан 7 лет назад

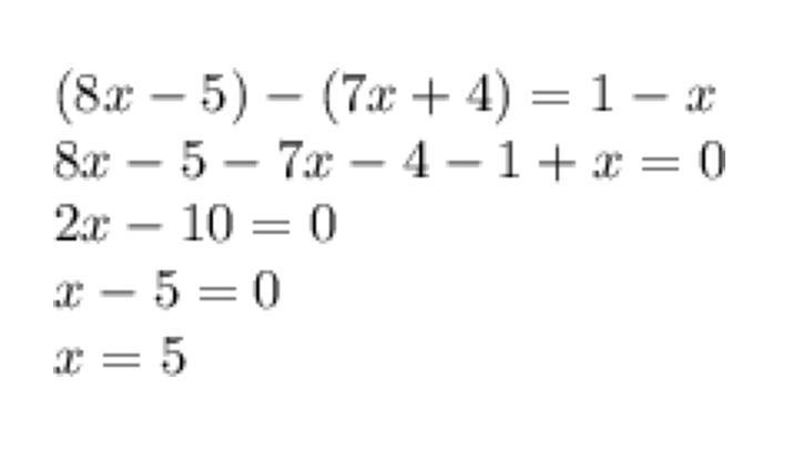
(8х-5)-(7х+4)=1-х помогите решить пожалуйста

Ответы

Ответ дал: tamc
2

(8x-5)-(7x+4)=1-x \\ 8x - 5 - 7x - 4 - 1 + x = 0 \\ 2x - 10 = 0 \\ x - 5 = 0 \\ x = 5

Ответ дал: krashkajulia
1
Вот решение (надеюсь помогла)
Приложения:
Вас заинтересует