• Предмет: Алгебра
  • Автор: jy5dvzfns8
  • Вопрос задан 7 лет назад

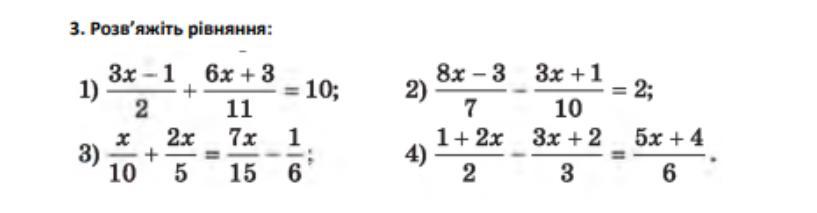
задание на фото. срочно нужно

Приложения:

Ответы

Ответ дал: vznkmisha1
0

Ответ:

1).11(3х-1)+2(6х+3) /22 =10

33х-11+12х+6 /22 =10

45х-5 /22 =10

10*22=45х-5

225=45х

х=5

Тільки один бо не маю часу

Вас заинтересует