Помогите пожалуйста, срочно с этим заданием! Умоляю вас! Даю 100 балов, только срочно пожалуйста!
Приложения:

Ответы
Ответ дал:
1
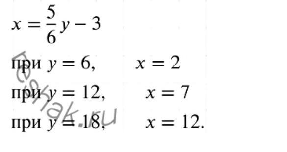
Ответ:
.........
Объяснение:
відповідь на фото
Приложения:


Вас заинтересует
2 года назад
2 года назад
2 года назад
2 года назад
8 лет назад
9 лет назад