Python: срочно пж.............................................

Приложения:

Ответы

Ответ дал: Леганда555
0

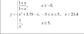
x = float(input('Введите x: '))

if x <= -5:

   y = (1 + x) / (1 - x)

elif -5 < x < 5:

   s = 23.4

   y = x ** 2 + 3.75 - s

else:

   y = 1 / x

print('y =', y)


mishafhxfh: ПОМОГИТЕ ПОЖАЛУЙСТА https://znanija.com/task/49439308
Вас заинтересует