• Предмет: Алгебра
  • Автор: kirillbronik1
  • Вопрос задан 7 лет назад

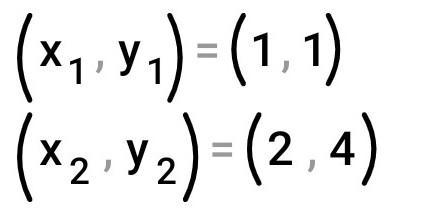
найдите координаты точки пересечения графиков функций у=х^2 и у= 3х-2

Ответы

Ответ дал: pollipollipolina
1

все понятно????....…...

Приложения:

kirillbronik1: А можно решение?
kirillbronik1: Спасибо большое
Вас заинтересует