• Предмет: Математика
  • Автор: dsdtfcggrffdfefdgfd
  • Вопрос задан 7 лет назад

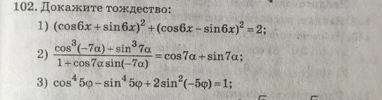
Пожалуйста, срочно! ​

Приложения:

Ответы

Ответ дал: anastasiamozetvse
1

Пошаговое объяснение:

6рзмкшп3щик7пруо

елщсаошвнощарша

елщаелшаншеощар7кг

пдплпшплгргщешагаинл

влпломсоаелплрлаоаовгсшкеол

Ответ дал: dimaknush14
0

Ответ:

Пошаговое объяснение:

Вас заинтересует