• Предмет: Алгебра
  • Автор: averchenkoyuly
  • Вопрос задан 11 лет назад

помогите!!!срочно надо!!!А 16)заранее большое спасибо)))

Приложения:

Ответы

Ответ дал: Наталья1748
0
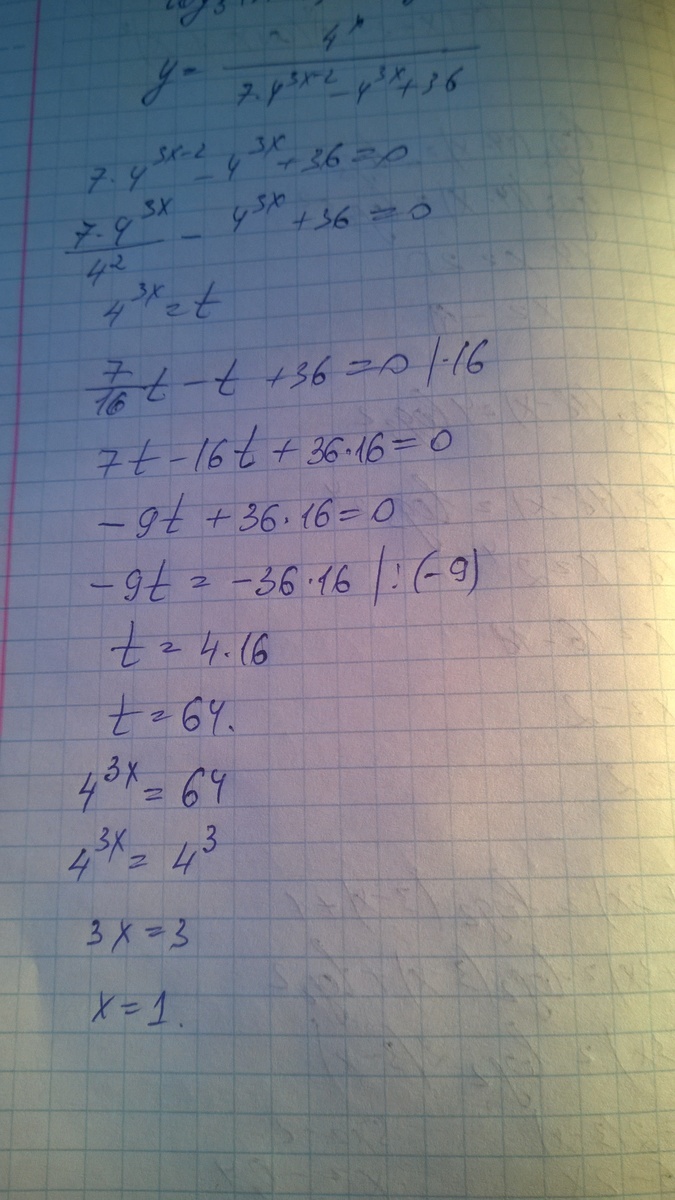
Решение во вложениях.
Приложения:
Вас заинтересует