• Предмет: Физика
  • Автор: bs16k3o
  • Вопрос задан 7 лет назад

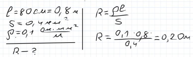
обчисліть опір залізного дроту завдовжки 80 см якщо площа його поперечного перерізу 0.4мм² Помогите пажалуйста Срочно даю 50 Балов!!!!​

Ответы

Ответ дал: zybkov1950
1

Ответ: 0,2 Ом

Объяснение:

Приложения:
Вас заинтересует