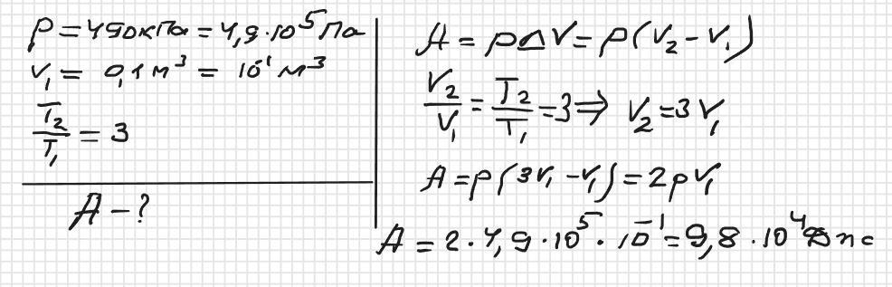
Тиск газу під поршнем 490 кПа. Яку роботу виконає газ, якщо він, розширюючись при сталому тиску, нагрівається до температури, у 3 рази більшої від початкової? Початковий об'єм 0,1 м³.Відповідь у кДж
Віддаю всі бали що є
Ответы
Ответ дал:
3
Ответ: 98 кДж
Объяснение:
Приложения:

nophyziczone:
Дякую велике
Вас заинтересует
2 года назад
2 года назад
2 года назад
2 года назад
8 лет назад
8 лет назад