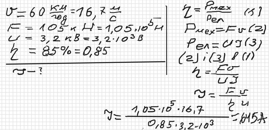
!!!! Електровоз рухається зі швидкістю 60 км/ч і розвиває середню силу тяги F=105кH. напруга в лінії U=3,2 кВ, а ККД двигуна η=85%. Обчисліть значення сили струму I.
Перевод: Электровоз двигается со скоростью 60 км/ч и развивает среднюю силу тяги F=105кH. напряжение в линии U=3,2 кВ, а КПД двигателя η=85%. Вычислите значение силы тока I.
                        
                            
                            
                    Ответы
                                            Ответ дал: 
                                                                                    
                                        
                                            
                                                
                                                
                                                
                                                    1
                                                
                                            
                                        
                                    Ответ: 645 В
Объяснение:
Приложения:
                     
                            Вас заинтересует
                
                        2 года назад
                    
                
                        2 года назад
                    
                
                        2 года назад