• Предмет: Алгебра
  • Автор: Аноним
  • Вопрос задан 7 лет назад

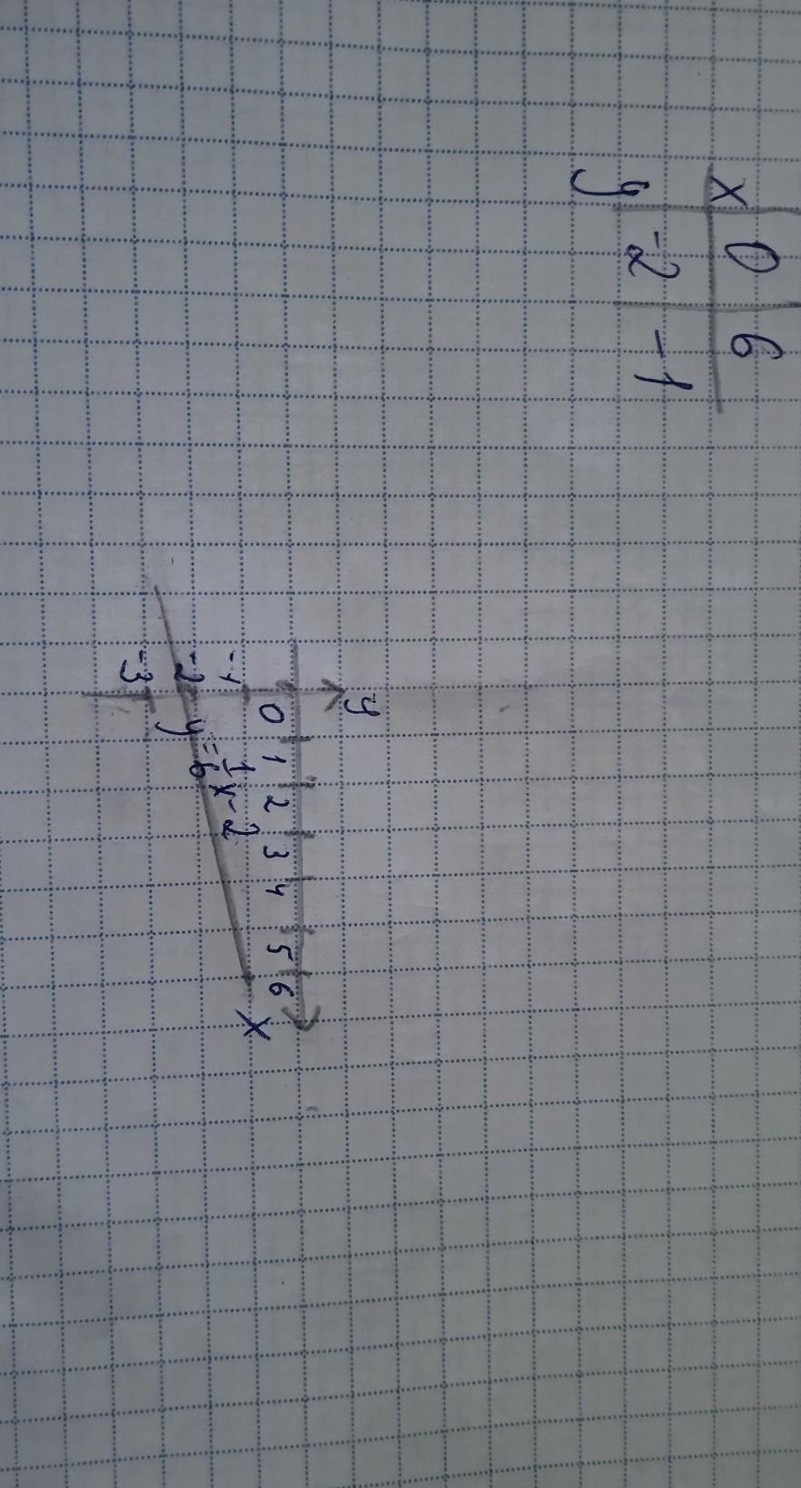
побудувати графік функції y=1/6x-2 при якому значенні аргументу функція набуває додатного значення.

Помогите пожалуйста отдам все свои. Баллы

Ответы

Ответ дал: newps3645
2

Я так понял? я подставил значения и начертил график.

Приложения:

Аноним: Та я уже понял, спасибо большое
Вас заинтересует