• Предмет: Математика
  • Автор: yavorskaya1976
  • Вопрос задан 7 лет назад

допоможіть контрольна робота .ДУЖЕ СРОЧНОО!!!

Приложения:

Ответы

Ответ дал: logic60
1

Відповідь:

Покрокове пояснення:

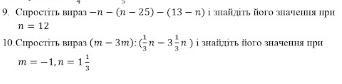
1. Завдання

-n-(n-25)-(13-n) при n=12

Розкриваєм дужки

-n-n+25-13+n

Додаємо одинакові доданки

-2n+12+n

Знову додаєм

-n+12

Підставляєм n=12

-12+12=0

Відповідь: 0

2. Завдання

(m-3m):(1/3n- 3 1/3n)

Вирішаєм приклади у душках

-2m : -3n

Підставляєм

-2*(-1) \ -3*1 1\3=2 \ -3*4\3=2\-4=-0.5

Відповідь: -0.5


yavorskaya1976: знак \ это поделить?
logic60: Где-то дробь, где-то как поделить, ориентируйтесь по вашему фото
Вас заинтересует