• Предмет: Физика
  • Автор: Annn1333
  • Вопрос задан 7 лет назад

Питання на фото, буду вдячна!

Приложения:

zybkov1950: Якщо ніхто не допоможе, то до завтрашнього ранку я розв'яжу Ваші дві задачі. Згода?
Annn1333: Добре, дуже сильно дякую. Ви - мій порятунок, як завжди!

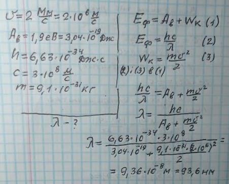
Ответы

Ответ дал: zybkov1950
1

Ответ: 93,6 нм

Объяснение:

Приложения:
Вас заинтересует