• Предмет: Физика
  • Автор: Kk4r1nach
  • Вопрос задан 7 лет назад

Тіло вільно падає без початкової швидкості з висоти 5 м. Одночасно з ним починає падати друге тіло, яке кидають вертикально вниз з висоти 10 м. Яка початкова швидкість має бути в другого тіла, щоб обидва тіла впали одночасно? Прискорення вільного падіння = 10м/с². Відповідь запишіть у м/с. (ДАЮ 100 БАЛЛОВ, фейк ответы = Бан. Заранее спасибо!)​

Ответы

Ответ дал: zybkov1950
5

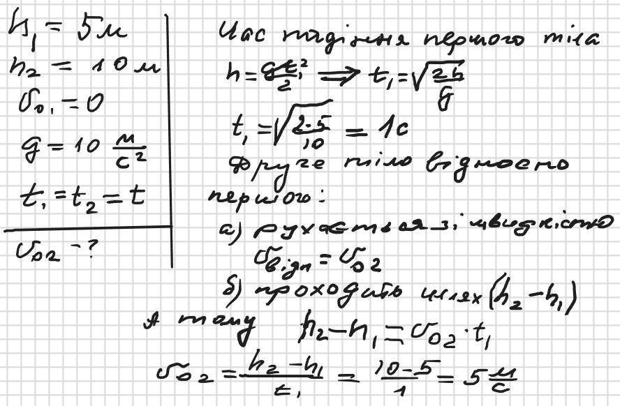
Ответ: 5 м/с

Объяснение:

Приложения:
Ответ дал: elena20092
3

Ответ:

5 м/с.

Объяснение:

h₁ = 5 м

v₀₁ = 0

h₂ = 10 м

g = 10 м/с²

t₁ = t₂ = t

---------------

v₀₂ - ?

---------------

Из формулы для высоты падения тела 1

h₁ = 0.5 gt²

найдём время падения

t = \sqrt{\dfrac{2h_1}{g} } = \sqrt{\dfrac{2\cdot 5}{10} } = 1~(s).

Из формулы для высоты падения тела 2

h₂ = v₀₂t + 0.5 gt²

найдём начальную скорость тела 2

v_{02} = \dfrac{h_2}{t}  - \dfrac{gt}{2}  = \dfrac{10}{1}  - \dfrac{10\cdot 1}{2}  = 5~(m/s).


Аноним: сркуокрко
Вас заинтересует