• Предмет: Химия
  • Автор: boss006543885
  • Вопрос задан 7 лет назад

сколько литров кислорода необходимо для получения 1 моль оксида алюминия Al+O2 -> Al2O3 пж только не откуда не списывайте или жб​


conkamisa6: ок

Ответы

Ответ дал: Zsefghdgh
1

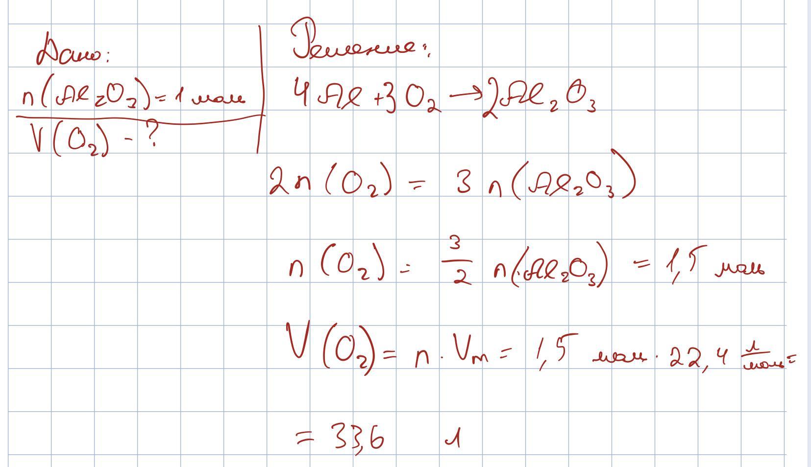
Ответ:

33,6л

Объяснение: в прикрепленном

Приложения:

boss006543885: ну пж помоги
boss006543885: я лучший ответ сделаю
boss006543885: твой
boss006543885: ну пж
boss006543885: а если вопрос опубликую помжешь
boss006543885: бро я опубликован
boss006543885: я опубликовал
boss006543885: посмотри
boss006543885: ну посмотри
boss006543885: тебе баллов дадут
Вас заинтересует
10 лет назад